Palabras clave:
Desbalance, homopolar, algoritmo genético, mediciones.
Resumen
Con el objeto de complementar el trabajo [1] y teniendo en cuenta que por el tipo de conexionado utilizado en el sistema de distribución de baja tensión en la República Argentina (sistema trifásico con retorno por neutro) pueden aparecer componentes de secuencia homopolar, el objeto del presente trabajo es mostrar cuales son los márgenes del factor de desbalance homopolar que aparecen y/o podrían aparecer en el sistema de distribución sin violar la reglamentación nacional vigente al respecto. En tal sentido, y teniendo en cuenta la metodología utilizada por las distribuidoras de energía eléctrica para acotar el desbalance, se determina el máximo valor posible que podría alcanzar la relación porcentual entre la componente de secuencia cero y positiva (relación empleada por IEC para evaluar el desbalance junto con la relación entre la componente de secuencia negativa y positiva), utilizando como herramienta un algoritmo genético diseñado específicamente para cumplir con lo propuesto. Además se muestran una serie de mediciones del factor de desbalance homopolar, obtenidas en distintos puntos del sistema de distribución eléctrica de baja tensión en Argentina.
Introducción
En los sistemas trifásicos el desbalance se produce cuando las tensiones de fase se apartan de su valor nominal y/o cuando los ángulos de separación entre los fasores que representan la tensión de cada fase, se apartan del valor correspondiente a los 120º entre ellos.
Las variaciones de cargas, de naturaleza monofásica, que se presentan en las redes eléctricas de distribución ocasionan un sistema con cargas desiguales en las distintas fases, lo cual lleva a que las caídas de tensiones en cada fase se encuentren desequilibradas, motivo por el cual el sistema presenta un grado de desbalance en sus tensiones en el punto de alimentación de los diferentes consumos. Este desbalance dependerá de las características de las cargas, de las características de las líneas empleadas en el sistema de distribución y de las tensiones en el punto de alimentación a la red de distribución.
Los sistemas desbalanceados pueden estudiarse a través de su descomposición en tres sistemas trifásicos, compuestos por: un sistema trifásico balanceado de secuencia positiva o directa correspondiente con la secuencia del sistema de distribución en estudio, un sistema trifásico balanceado de secuencia negativa o inversa, el cual posee una secuencia opuesta al del sistema de distribución en estudio y una secuencia cero u homopolar, compuesta por una terna de fasores de igual magnitud y fase.
Contemplando la normativa internacional IEC [2], el desbalance en un sistema trifásico se define como la relación entre la magnitud de la componente de secuencia negativa o cero, dependiendo el parámetro a evaluar, y la magnitud de la componente de secuencia positiva, expresada como porcentaje. En la normativa nacional no existe un valor que acote directamente el factor de desbalance dado por cualquiera de las relaciones citadas anteriormente, sino que éste se acota indirectamente a través de limitar los niveles máximos y mínimos de las tensiones de cada una de las fases. En tal sentido, es objeto del presente trabajo mostrar cuáles son los valores que podría tomar el factor de desbalance homopolar sin violar lo establecido en la reglamentación nacional vigente.
Evaluación del desbalance y normativa
Para el presente trabajo se evalúa el desbalance teniendo en cuenta la metodología propuesta por la normativa IEC [2], en la cual se establece que factor de desbalance homopolar en la tensión Fdvh, en un sistema trifásico, se obtiene a través de la relación entre la magnitud de la componente de secuencia homopolar y la magnitud de la componente de secuencia positiva, expresada como porcentaje (1).

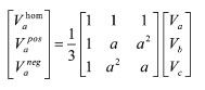
Siendo el factor de desbalance Fdvh el objeto de análisis del presente trabajo. El cálculo de las componentes de secuencias positiva, negativa y homopolar se efectúa a través de la aplicación del teorema de Fortescue [3] y estarán dadas por la expresión (2).

En esta última “a” es un operador que genera una rotación de 120 º en la dirección contraria a la de las agujas de un reloj.

Por otro lado, en nuestro país la normativa nacional [4], a través de los correspondientes contratos de concesión de las diferentes empresas distribuidoras del país, acota los factores de desbalance en la tensión (correspondientes a secuencia negativa y homopolar) de manera indirecta a través de limitar los niveles máximos y mínimos de las tensiones de cada fase. Tomando como ejemplo lo establecido en el contrato de concesión que regula la explotación del sistema de distribución eléctrica de la ciudad de La Plata, dependiente de la empresa EDELAP, las variaciones porcentuales de tensión admitidas para la etapa de régimen se detallan en tabla 1.
Identificación de las variables que afectan al factor de desbalance
Para el desarrollo del algoritmo que permita obtener el máximo factor de desbalance homopolar que podría aparecer en la red de distribución de baja tensión, se tienen en cuenta seis variables, que son: las variaciones de las tres tensiones de fase y los apartamientos angulares de cada una de las fases respecto a los 120º de separación que debería existir entre las mismas para conformar un sistema balanceado.
Rango de variación de las tensiones de las distintas fases
Ya que la normativa nacional acota las variaciones porcentuales de las tensiones de fase, como se puede apreciar en la tabla 1, estos son los limites de variaciones de tensiones, utilizados para cada una de las fases en el presente estudio.
Particularmente se toma como rango de variación el valor de ±8,0% de la tensión nominal del sistema eléctrico de distribución en baja tensión.

Rango de variación en los ángulos para las diferentes fases
En relación con los límites de la variación angular, en su apartamiento de los 120º que deberían tener teóricamente los fasores entre sí, para componer un sistema trifásico balanceado, la normativa nacional no fija ningún rango al respecto.
Con el objeto de determinar un posible rango de variación angular de las diferentes fases del sistema de distribución de baja tensión y considerando para tal efecto una carga balanceada, es posible basar el análisis en un circuito como el de la figura 1, que representa una de las fases del sistema trifásico.
La circulación de corriente por los conductores de las líneas de distribución provoca una caída de tensión en ellos, que puede llevar a un desfasaje entre el fasor de tensión en el punto de alimentación de la línea (Vf) y el fasor tomado en el punto de alimentación de la carga (Vc) (ver figura 1). El citado desfasaje dependerá de las características de la línea y del tipo de carga conectada a ella. Además, para el cálculo del posible rango de variación angular se considera lo siguiente:
-
Para todos los casos analizados se considera la máxima corriente posible en la línea, sin superar la corriente admisible del conductor ni los limites de tensión permitidos en la carga, que de acuerdo con la tabla 1, para este estudio se utiliza ± 8% de la tensión nominal de 220 V.
-
Las tensiones no presentan deformación.
-
Para las cargas consideradas en los diferentes casos, se considera un factor de potencia que varía entre 0,85 capacitivo y 0,85 inductivo.
-
Se tienen en cuenta además diferentes longitudes de línea que van desde los 50 a los 500 metros.
-
El desfasaje entre Vf y Vc obtenido en cada uno de los casos analizados se encuentra expresado tomando Vf como referencia.
Los resultados del análisis efectuado se resumen en la tabla 2, en la cual se aprecian los rangos de variación angular entre los fasores Vf y Vc para algunos tipos de líneas empleadas en los sistemas de distribución eléctrica de baja tensión de la República Argentina.
A modo de ejemplo de los resultados obtenidos con el algoritmo de cálculo desarrollado para determinar el posible rango de variación angular en los diferentes tipos de líneas analizadas en el presente estudio, en la figura 2 se muestran la totalidad de los cálculos efectuados para la línea A (tabla 2), donde puede apreciarse el ángulo entre los fasores Vf y Vc, en función del ángulo de la carga en grados y la longitud de la línea en metros. La citada figura contiene los ángulos máximo y mínimo que conforman el rango de variación angular Vf - Vc buscado (-0.60) / (-15.58).
Determinación del valor máximo del factor de desbalance
Considerando que las variables que se encuentran involucradas en el cálculo del factor de desbalance homopolar Fdvh son seis, se adopta como herramienta para obtener el máximo de dicho factor un algoritmo genético, el cual fue desarrollado específicamente para cumplir con el objetivo buscado en el presente trabajo.
Un algoritmo genético proporciona un método de búsqueda dirigida, basada en probabilidades, con amplia aplicación en problemas de optimización en los cuales el número de variables es grande [5].
Estos algoritmos están basados en el proceso genético de los organismos vivos y trabajan con una población de individuos, cada uno representando una posible solución a un problema dado. A cada individuo se le asigna una puntuación de adaptación, dependiendo de qué tan buena fue la respuesta al problema. A los más adaptados se les da la oportunidad de reproducirse mediante cruzamientos con otros individuos de la población, produciendo descendientes con características de ambos padres. Los miembros menos adaptados poseen pocas probabilidades de que sean seleccionados para la reproducción, y por lo tanto desaparecen.
Los algoritmos genéticos parten de una población inicial donde cada individuo se representa con un código genético (típicamente una secuencia de bits) en la que se encuentra codificada su información. Sobre esta población se realiza una serie de operaciones, en primer lugar se seleccionan parejas de soluciones para que se reproduzcan (a este proceso se le llama "cruce"), siendo los hijos una mezcla del código genético de los padres. A continuación se producen una serie de mutaciones que alteran los genes de los recién nacidos y por último de entre toda la población se eligen aquellos que van a sobrevivir, desechándose el resto (la población en un algoritmo genético típico permanece constante en todas las iteraciones). Tanto a la hora de la reproducción, como en el momento de elegir las soluciones supervivientes en cada iteración, se favorece a aquellos individuos que según la función de evaluación sean más fuertes, para el algoritmo desarrollado en este trabajo se contempló como función de evaluación al cálculo del factor de desbalance homopolar Fdvh.
El algoritmo genético desarrollado posee las siguientes características generales:
-
Cantidad de muestras de cada variable (población): 100
-
Cantidad de generaciones o número de iteraciones: 400
-
Probabilidad de cruce: 65%
-
Probabilidad de mutación: 9%
En la tabla 3 es posible apreciar el valor máximo que podría tomar el factor de desbalance homopolar Fdvh para cada una de las líneas de distribución de baja tensión consideradas en la tabla 2. Teniendo en cuenta la alteración de las variables involucradas de acuerdo con lo estipulado en el ítem anterior, en el cual se establecen los márgenes de variación de tensión y ángulos, sin violar la reglamentación vigente al respecto en la República Argentina.
Es oportuno aclarar que la condición teórica del sistema eléctrico que permitiría alcanzar los valores de máxima correspondiente al factor de desbalance y mostrados en la tabla 3, tiene baja probabilidad de suceder en condiciones reales de explotación, en virtud de la combinación de situaciones que deberían darse para generar un sistema trifásico con las características mencionadas en dicha tabla. Lo dicho no invalida el hecho de que producto de la distribución incorrecta de cargas monofásicas en el sistema y/o por una alimentación a la líneas de distribución con características deficientes, lleve a valores del factor de desbalance homopolar Fdvh que provoquen inconvenientes en los clientes trifásicos conectados al mismo. Para todas las líneas de distribución mostradas en la tabla 3, el valor máximo del factor de desbalance homopolar Fdvh que podría presentarse si no se considera un desvío angular (Vf - Vc) para ninguna de las fases, y solo se contemplan las variaciones de tensión permitidas en la reglamentación vigente, (± 8,0% de la tensión nominal de 220 V), sería de 5,47%, con las siguientes tensiones en cada una de las fases: fase 1= 202,4 V, fase 2= 202,4 V y fase 3=237,6 V.
Datos provenientes de mediciones
Con el objeto de tener una idea acerca de los valores de Fdvh que pueden presentarse en Argentina, se efectuaron una serie de mediciones en diferentes puntos de las redes de distribución de la ciudad de La Plata, provincia de Buenos Aires, y de la ciudad de Concordia, provincia de Entre Rios, obteniéndose los resultados mostrados en la tabla 4. Estas mediciones se efectuaron en ocho puntos elegidos aleatoriamente en cada una de las redes de distribución de baja tensión y en diferentes horarios del día. El equipamiento utilizado para realizarlas fue en el caso de La Plata un analizador de calidad de potencia trifásico marca: Dranetz-BMI, modelo: Power Guia 440S, y para el caso de Concordia se utilizó un analizador de calidad de potencia trifásico marca Fluke, modelo 435, tomándose para todos los casos un periodo de medición no inferior a 25 minutos.
Conclusión
En la actualidad la reglamentación Argentina permite que el factor de desbalance homopolar Fdvh pueda tomar valores como los mostrados en la tabla 3. En esta tabla es posible apreciar que los valores máximos del Fdvh que podrían aparecer en el sistema eléctrico de distribución, arrojan un valor promedio de 9,89%. Si no se contempla la variación angular determinada en la tabla 2 y solo se tiene en cuenta las variaciones de la tensión en las diferentes fases, el máximo posible del Fdvh sería de 5,47%.
De las mediciones efectuadas en distintos puntos del sistema de distribución de baja tensión (tabla 4), es posible apreciar que los valores promedio del factor de desbalance homopolar de las mediciones efectuadas en la ciudad de La Plata fue de 0,28% y el correspondiente a la ciudad de Concordia fue de 1,36%. Asimismo, durante los periodos de medición se registraron valores máximos, cuyos promedios de las mediciones realizadas fue de 1,01% para La Plata y 2,68% para Concordia. En tal sentido cabe aclarar que los datos obtenidos no representan la realidad de todo el sistema de distribución de baja tensión de Argentina, ni tampoco es posible garantizar que éstos no sufran modificaciones en un futuro, para tomar valores que, sin violar la reglamentación vigente, ocasionen inconvenientes a los clientes trifásicos conectados al sistema de distribución.
En virtud de lo mencionado, consideramos recomendable ahondar en el análisis cuantitativo, sobre cuáles son los inconvenientes que ocasionan las componentes homopolares en diferentes equipos y cargas asociadas con el sistema eléctrico de distribución. Esto con el objeto de acotar directamente, si corresponde, los límites del factor de desbalance homopolar para evitar un uso poco eficiente de la energía.
Referencias
Pascual H. O.; et alles: “Análisis del Desbalance en Redes de Distribución Argentinas, Contemplando la Reglamentación Nacional Vigente al Respecto,” en Décimo Quinto Encuentro Regional Iberoamericano del CIGRÉ (XV eriac 2013), Foz de Iguazú-PR, Brasil, 19-23 de mayo de 2013.
IEC, IEC 61000-4-30: 2008.: Electromagnetic compatibility (EMC)-Part 4-30: Testing and measurement techniques – Power quality measurement methods.
Grainger J. J. y Stevenson W. D. Jr.: Análisis de Sistemas de Potencia, McGraw-Hill, México, 391-440,(1995).
ENRE Ente Nacional Regulador de la Electricidad (Argentina), Res. 184/2000.
Goldberg, David; Genetic Algorithms in Serch, Optimization & Machine Learning, Addison-Wesley (1989) |