Resumen
En el siguiente trabajo se realiza un análisis comparativo entre los métodos más comunes utilizados, en la industria, para la determinación de la eficiencia de motores eléctricos evitando, en algunos casos, la salida de servicio. Esta comparación se complementa con ensayos realizados sobre un motor de inducción trifásico permitiendo analizar la aplicabilidad de cada método en función de la carga de la máquina.
Palabras clave: eficiencia, industria, motores eléctricos, rendimiento, ensayos.
Introducción
Figura 1. Consumo de electricidad en motores y otros equipos para el sector industrial y terciario en la Unión Europea (Julio R. Goméz et alles 2012)
En los últimos tiempos, la crisis energética y la contaminación ambiental han llevado a profundizar los esfuerzos en materia de ahorro de energía como vía hacia el desarrollo sostenible, en este contexto la eficiencia en la operación de los sistemas de producción juega un papel fundamental, así el uso eficiente de la energía eléctrica resulta imprescindible para la economía y la reducción del impacto sobre el medioambiente. Teniendo en cuenta que los motores eléctricos trifásicos de inducción son los principales generadores de fuerza motriz en la industria y los responsables de una gran parte de la energía que se consume anualmente en un país; la gestión energética en la industria no puede ser ajena a la explotación eficiente de estas máquinas ya que representan un potencial significativo para el ahorro de energía. En la figura 1 puede verse el consumo de energía de los motores eléctricos en distintas aplicaciones finales. Es por este motivo imperativo conocer la eficiencia de la máquina bajo sus condiciones reales de funcionamiento, estos conceptos no son nuevos y se llevan a cabo por medio de varios métodos, alguno de los cuales se enumeran a continuación.
- Método de datos de chapa
- Método del deslizamiento
- Método de la corriente
- Método directo
- Método de segregación de pérdidas
- Método de la cupla electromagnética
No todos los ensayos mencionados se pueden aplicar directamente en la industria ya que algunos de ellos resultan demasiado invasivos dificultándose su aplicación en condiciones reales de uso del motor. No podemos definir cuál sería el método óptimo para aplicar ya que esto está íntimamente ligado a la información eléctrica, mecánica y de fabricación obtenida del motor. En este trabajo se hace una comparación entre los métodos de mayor aplicación en la industria y se explican las consideraciones a tener en cuenta para su implementación. Se agrega al análisis tradicional el método de la cupla electromagnética que se basa en determinar la eficiencia de la máquina a través de la medición de la velocidad, tensión y corriente, resultando errores aceptables en la determinación de la eficiencia y una baja invasión del sistema de medición sobre el accionamiento.
Estudio de métodos
Método del deslizamiento
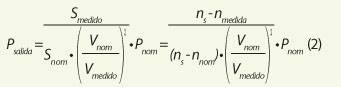
Este método supone que el estado de carga es proporcional a la relación del deslizamiento medido y el deslizamiento a plena carga. La potencia que entrega el motor a la carga (Psalida) se calcula utilizando la expresión (1)
 donde: s medido es el deslizamiento medido en p.u.; s nom es el deslizamiento nominal en p.u.; ns es la velocidad sincrónica en rpm; n medida es la velocidad de rotación del rotor, en rpm; n nom es la velocidad de rotación nominal, en rpm y P nom es la potencia nominal del motor en kW.
Este procedimiento ha sido mejorado introduciendo correcciones a la velocidad nominal por variaciones de la tensión, especialmente en motores pequeños y de velocidades altas. Esto se debe a que el deslizamiento varía con el cuadrado de la tensión efectiva real.
 donde: V nom es la tensión nominal del motor, en volt; y V medida es la tensión de línea medida, en V.
Sin embargo, hay que considerar que el método se recomienda cuando se dispone de un tacómetro óptico y que los errores son relativamente elevados ya que de acuerdo a la norma NEMA MG1 la velocidad nominal que se estampa en la placa puede tener una incertidumbre de hasta un 20%. La eficiencia se calcula como la relación por cociente entre la potencia de salida calculada y la de entrada medida.
Método de la corriente
De igual manera al método del deslizamiento, el método de la corriente requiere de un mínimo de mediciones, que pueden ser realizadas con la máquina en operación normal, y datos del fabricante por lo que es muy simple de aplicar. El método de la corriente se basa en proponer que el estado de carga es proporcional a la relación entre la corriente que demanda el motor y la corriente nominal
 donde: I medida es la corriente de línea medida, en ampere; e I nom es la corriente nominal del motor, en ampere.
En realidad, la curva de corriente es ligeramente no lineal por lo que una variante para mejorarlo se obtiene mediante la ecuación (4).
 donde: Io es la corriente en vacío del motor.
Esta variante requiere medir la corriente en vacío y los resultados dan generalmente una potencia de salida menor que la real, por lo que se obtienen mejores resultados realizando un promedio entre las dos alternativas. Para tener en cuenta la desviación del valor de la tensión aplicada al valor nominal puede aplicarse la ecuación (5).
 Debido a la no linealidad que presenta la curva de corriente, este método no es útil para determinar la cargabilidad del motor y la eficiencia a estados de carga inferiores al 50%. Este método resulta poco invasivo ya que las corrientes requeridas pueden medirse a través de sondas de corriente o bien directamente desde el centro de control de motores.
Métodos de estimación de pérdidas.
Figura 2. Eficiencia calculada por el método del deslizamiento
Estos métodos se basan en la estimación de cada componente de pérdidas que tienen lugar en el motor: las pérdidas por efecto Joule en el devanado del estator o pérdidas de cobre del estator (Pcus), las pérdidas magnéticas por histéresis y corrientes parásitas o pérdidas de núcleo (P Fe), las pérdidas por efecto Joule en el devanado del rotor o pérdidas en el cobre del rotor (P cur), las pérdidas mecánicas por rozamiento y ventilación (PRyV) y las pérdidas adicionales (P adl). Este método tiene una alta precisión cuando se hacen ensayos para determinar cada componente de pérdidas, pero de esta manera es muy invasivo y complicado para un ambiente industrial. Una variante es tomar valores empíricos o estimados de algunas de estas pérdidas. Las pérdidas de cobre del estator se calculan conociendo la corriente de línea y la resistencia de fase del estator:
 donde: R f es la resistencia promedio de la fase del estator, en ohm. Como se sugiere por Ontario Hydro (Método OHME) en una variante del método E1 descrito en la norma IEEE-112, las pérdidas combinadas de rozamiento, ventilación y núcleo (P RyV+PFe) se asumen como un 3,5 a 4,2% de la potencia de entrada nominal y las pérdidas adicionales se asumen como un porcentaje de la potencia nominal del motor de acuerdo a la norma IEEE-112 (tabla 1).
Tabla 1. Valores asumidos de pérdidas adicionales con carga en función de la potencia nominal del motor (IEEE-112)
Otra variante es estimar las pérdidas combinadas de rozamiento, ventilación y núcleo aproximadamente como
 Las pérdidas de cobre del rotor (Pcur) se calculan multiplicando el deslizamiento por la potencia electromagnética o potencia de entrada al rotor (Pem)
 Conociendo todos los componentes de pérdidas y la potencia eléctrica de entrada (Pentrada) se puede conocer la potencia de salida como:
 Con la potencia de salida estimada y la potencia de entrada se determina la eficiencia.
Método de la cupla electromagnética
Este método basa su aplicación en el cálculo de la potencia desarrollada por el motor a través de la determinación de la cupla electromagnética. Esta última puede determinarse con ayuda de la teoría circuital de máquinas eléctricas midiendo las corrientes y tensiones instantáneas aplicadas al motor y su velocidad. La contribución importante de este método es poder determinar la eficiencia del motor solamente con la medición de los parámetros de entrada. Si bien el método requiere de la resistencia por fase y velocidad del motor, estas pueden determinarse también desde los terminales de entrada. Es así que este método asegura una baja invasibilidad y alta confiabilidad en los resultados. La cupla electromagnética puede expresarse en coordenadas dq como se indica en la ecuación (10)
 Donde λ representa los encadenamientos de flujo entre las inductancias de la máquina y puede escribirse en función de la tensión y corriente de la siguiente manera:

Figura 3. Eficiencia calculada para diferentes variantes del método de la corriente.
Los valores de udqs y u dqs pueden obtenerse a partir de los valores instantáneos de las corrientes, tensiones de fase y la matriz de transformación (abc-dq), conjunto de ecuaciones (12).
 Por último operando con las ecuaciones anteriores se obtiene la expresión de la cupla electromagnética como función de los valores temporales de la tensión y la corriente
 Donde las integrales pueden resolverse por cualquier método de resolución numérica. Para determinar la potencia en el eje de la máquina deben descontarse a la potencia electromecánica las pérdidas mecánicas y las pérdidas adicionales. Los datos para esta corrección pueden estimarse u obtenerse de las normas correspondientes.
 Por último la eficiencia puede determinarse como:

Análisis comparativo
Tabla 2. Mediciones y datos necesarios para implementar los métodos.
Los métodos anteriormente mostrados fueron implementados en el laboratorio y comparados con el método directo, en el cual se mide la cupla y la velocidad desarrolladas por el motor para obtener la potencia mecánica y con esta y la potencia eléctrica se calcula la eficiencia. El motor ensayado tiene las siguientes características: 1,5 kW, 380 V, 4,4 A, 870 rpm, coseno fi ( φ ) = 0,75. En la figura 2 se muestran los resultados obtenidos para el método del resbalamiento. El inconveniente de este método es la incertidumbre en los datos de la velocidad nominal que como se explico anteriormente puede ser de hasta un 20%. Otro inconveniente que presenta es la de tener que medir la velocidad en máquinas muchas veces inaccesibles. En la figura 3 se muestra el método de las corrientes en todas sus variantes. Para implementar este método en la industria la variante recomendada para obtener resultados más precisos es la que utiliza el promedio de la carga calculada por las expresiones (3) y (4) y que se ha denominado en el gráfico “Promedio Corriente”. En la figura 4 se muestran los resultados de la eficiencia calculada para el método de la cupla electromagnética en comparación con el método directo. La figura 5 muestra los errores obtenidos con los diferentes procedimientos analizados con relación al método directo para 100, 80 y 55 % de carga del motor. Puede verse que el método de separación de pérdidas presenta muy buenos resultados, siendo necesario aclarar que en este caso se ha tenido la posibilidad de medir la potencia del motor funcionando sin carga. Lo que resulta en una disminución del error de estimación. El método de la corriente simple o compensado, ya sea con corriente en vacío o tensión, presenta en general grandes errores cuando la máquina se encuentra con baja carga.

Figura 4: Comparativa entre los distintos métodos
Conclusiones
Como se anticipó, resulta difícil estimar cuál de los métodos arrojará mejores resultados. En general esta cuestión está relacionada con los métodos de medida y experiencia en la estimación de los parámetros necesarios para el cálculo. Se observa en línea general que a baja carga del motor, los errores en la estimación de la eficiencia son mayores. Dejando muchos de ellos de ser útiles para factores de carga menores al 50%. Es de destacar que la aplicabilidad de los métodos está limitada la mayoría de las veces por la dificultad para su aplicación en el lugar de instalación real de la máquina. En condiciones reales de funcionamiento existen problemas de calidad de la energía que incrementan las pérdidas en el motor con el consecuente efecto sobre la eficiencia. Ya sea que se aplique uno u otro método, en función de las condiciones propias de la instalación y de la posibilidad de realizar las mediciones requeridas, hay que tener en cuenta que los métodos descriptos en este trabajo salvo el de la cupla electromagnética no contemplan adecuadamente estos problemas y por ende los errores se incrementan en presencia de tensiones desbalanceadas o con armónicos. Los métodos de estimación de pérdidas y de cupla electromagnética necesitan del valor de la resistencia de fase del devanado del estator, con lo cual presentan un cierto grado de invasión al sistema. Esta medición puede realizarse cuando el motor esté fuera de servicio por reparaciones o aprovechar paradas de la planta. Hay que señalar que aunque actualmente existen técnicas de estimación de la resistencia y la velocidad, que reducen la invasividad de estos métodos, estas técnicas tienen como desventaja que agregan complejidad al sistema de medición. A favor de este método podemos afirmar que es aplicable a bajos factores de carga manteniendo errores del orden a los determinados a carga nominal. A modo de resumen se muestra en la tabla 2 la información necesaria para cada método, lo que da una idea del nivel de invasividad.

Figura 5. Errores obtenidos con relación al método directo.
Bibliografía
- Julio R. Gómez, Alejandro Jurado, et al. Gestión Energética para la Industria: Algunos Métodos Prácticos para la Evaluación de la Eficiencia de los Motores Eléctricos. 2012
- An in situ efficiency estimation technique for induction machines working with unbalanced supplies. Gharakhani Siraki, Arbi and Pillay, Pragasen. 1, march 2012, IEEE Transactions on energy conversion, Vol. 27, pp. 85-95.
- ISR-University of Coimbra (Portugal). Improving the penetration of Energy Efficient Motors and Drives. 2000.
- Castrillón, Rosaura and Quispe, Enrique Ciro. Estado actual de los métodos para medir la eficiencia en sitio de los motores de inducción. Memorias II Congreso Internacional sobre Uso Racional y Eficiente de la Energía. CIURE 2006. Bogotá, Colombia : s.n., Noviembre 2 al 4, 2006.
- IEEE Standard Test Procedure for Polyphase Induction Motors and Generators, IEEE Std 112. 2004.
- Viego Felipe, Percy R., et al., et al. Uso Final de la Energía Eléctrica. Cienfuegos : Universo Sur, 2007.
- Comparison of induction motor field efficiency estimation methods. Hsu, J. S., et al., et al. No. 1, january/fbruary 1998, IEEE Transactions on Industry Applications, Vol. 34, pp. 117-125.
- A survey of efficiency estimation methods of in service induction motors with considerations of condiction monitoring requeriments. Lu, Bin, Habetlr, Thomas G. and Harley, Ronald G.
- Estimation of Induction Motor Efficiency In-Situ under Unbalanced Voltages using Genetic Algorithms. Gómez Sarduy, Julio R., et al., et al. Portugal : s.n., 2008. Proceeding of the 2008 International Conference on Electrical Machines.
- Electrical Manufacturers Association. NEMA Standar Publication MG1. Motors and Generators. Washintong DC, USA : s.n., 2003.
- Ontario Hydro. In-plant electric motor loading and efficiency techniques.
- Estimación de la eficiencia de motores asincrónicos a cargas parciales en condiciones de campo. Viego Felipe, Percy R., Gómez Sarduy, Julio R. and De Armas Teyra, Marcos A. Cienfuegos : s.n., 2010. Memorias del VI Taller Internacional de Energía y Medio Ambiente.
- Cálculo del factor de potencia y la eficiencia con cargas parciales en motores asincrónicos de jaula de ardilla. Suisky, P. A. 6, 1990, Elektrotejnika, pp. 24-27.
- Construcción de las características de los motores asincrónicos por datos de catálogo. Kitaev, A. B. 2, 1988, Elektrtejnika, pp. 14-18.
- Estudio de la Variación de las Pérdidas en las Máquinas Asincrónicas Trifásicas por Desbalances de tensiones y Armónicos. Lemozy, Norberto A. and Brugnoni, Mario S.F.
- Bin Lu, T.G.Habetler R.G.Harley. A Nonintrusive and In-Service Motor-Efficiency estimation Method Using Air-Gap Torque UIT Considerations of Condition Monitoring. IEEE Transaction on Industry Applications. Vol.44 Nº 6. 2008.
- John S. Hsu, Monitoring of Defects in Induction Motors Through Air-Gap Torque Observation. IEEE Transaction on Industry Applications. Vol.31 Nº 5. 1995.
|